Параметрические критерии различий и корреляционные исследования

Главная | К темам

t-критерий Стьюдента для независимых выборок

t-критерий Стьюдента для независимых выборок применяется для сравнения средних значений двух независимых между собой выборок.

Условия применения:
1. Сравниваемые значения не составляют пару коррелирующих значений
2. Распределение признаков в каждой выборке соответствует нормальному распределению
3. Дисперсии признака в выборках примерно равны (проверяется с помощью критерия F-Фишера)

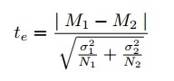
Формула t-критерий Стьюдента для независимых выборок:
Рис. 1.Формула t-критерий Стьюдента для независимых выборок
где M1 — среднее арифметическое первой выборки; M2 — среднее арифметическое второй выборки; σ1 — стандартное отклонение первой выборки; σ2 — стандартное отклонение второй выборки; N1 — объем первой выборки; N2 — объем второй выборки.

Полная версия доступна только зарегистрированным пользователям со статусом Студент